Acta Metallurgica Sinica(English Letters)  2018 , 31 (9): 910-922 https://doi.org/10.1007/s40195-018-0733-5

Orginal Article

Scalable Synthesis of Hierarchical Antimony/Carbon Micro-/Nanohybrid Lithium/Sodium-Ion Battery Anodes Based on Dimethacrylate Monomer

Su-Zhe Liang12, Xiao-Yan Wang23, Yong-Gao Xia2, Sen-Lin Xia4, Ezzeldin Metwalli4, Bao Qiu2, Qing Ji25, Shan-Shan Yin12, Shuang Xie23, Kai Fang26, Lu-Yao Zheng23, Mei-Mei Wang2, Xiu-Xia Zuo23, Ru-Jiang Li1, Zhao-Ping Liu2, Jin Zhu2, Peter Müller-Buschbaum4, Ya-Jun Cheng27

1. North University of ChinaTaiyuanChina
2. Ningbo Institute of Materials Technology and EngineeringChinese Academy of SciencesNingboChina
3. University of Chinese Academy of SciencesBeijingChina
4. Physik-Department, Lehrstuhl für Funktionelle MaterialienTechnische Universität MünchenGarchingGermany;
5. The University of Nottingham Ningbo ChinaNingboChina
6. Nano Science and Technology InstituteUniversity of Science and Technology of ChinaSuzhouChina
7. Department of MaterialsUniversity of OxfordOxfordUK

Corresponding authors:   Corresponding author: Ya-Jun Cheng, chengyj@nimte.ac.cn

Received: 2017-12-19

Revised:  2018-02-13

Online:  2018-09-10

Copyright:  2018 Editorial board of Acta Metallurgica Sinica(English Letters) Copyright reserved, Editorial board of Acta Metallurgica Sinica(English Letters)

More

Abstract

A facile scalable synthesis of hierarchical Sb/C micro-/nanohybrid has been addressed in this work, which possesses the advantages of both micrometer and nanometer scale structures as lithium-ion battery anode. Difunctional methacrylate monomers are used as solvent and carbon source as well. Liquid precursor of antimony(III) n-butoxide is dissolved in the resin monomer solution, and further incorporated into the cross-linking polymer network via photo polymerization. Through calcination in argon/hydrogen atmosphere, antimony nanoparticles are in situ formed by carbothermal reduction, and homogeneously embedded in the in situ formed micrometer sized carbon matrix. The morphology, structure, crystallinity, spatial dispersion, composition, and electrochemical performance of the Sb/C micro-/nanohybrid are systematically investigated. The cyclic and rate performance of the Sb/C micro-/nanohybrid anode have been effectively improved compared to the pure carbon anode. A reversible capacity of 362 mAh g-1 is achieved with a reasonable mass loading density after 300 cycles at 66 mA g-1, corresponding to capacity retention of 79%. With reducing mass loading density, the reversible capacity reaches 793 mAh g-1 after 100 cycles. Moreover, the electrochemical performance of Sb/C micro-/nanohybrid as sodium-ion battery anode is also investigated in this study.

Keywords: Antimony/carbon micro-/nanohybrid ; Lithium-ion battery ; Sodium-ion battery ; Anode ; Methacrylate ; Photo polymerization ; Thermosetting resin

0

PDF (2654KB) Metadata Metrics Related articles

Cite this article Export EndNote Ris Bibtex

Su-Zhe Liang, Xiao-Yan Wang, Yong-Gao Xia, Sen-Lin Xia, Ezzeldin Metwalli, Bao Qiu, Qing Ji, Shan-Shan Yin, Shuang Xie, Kai Fang, Lu-Yao Zheng, Mei-Mei Wang, Xiu-Xia Zuo, Ru-Jiang Li, Zhao-Ping Liu, Jin Zhu, Peter Müller-Buschbaum, Ya-Jun Cheng. Scalable Synthesis of Hierarchical Antimony/Carbon Micro-/Nanohybrid Lithium/Sodium-Ion Battery Anodes Based on Dimethacrylate Monomer[J]. Acta Metallurgica Sinica(English Letters), 2018, 31(9): 910-922 https://doi.org/10.1007/s40195-018-0733-5

1 Introduction

Antimony (Sb) is a promising alternative lithium-ion battery anode material to replace commercial graphite. It is featured by a high theoretical capacity (660 mAh g-1), an appropriate reaction potential (0.8-0.9 V vs. Li/Li+), and a unique puckered-layer structure [1, 2, 3, 4, 5, 6, 7]. The moderate working voltage inhibits the formation of lithium dendrites and thereby improves the operation safety of the lithium-ion batteries. The special puckered-layer structure provides more space to accommodate Li allowing for a fast diffusion of Li ions during lithiation and delithiation, leading to an accelerated electrochemical kinetics. Besides, Sb is also a promising anode candidate for sodium-ion batteries (NIBs), which could effectively alleviate the strained lithium resources, particularly useful for large-scale energy storage [2, 8, 9]. Despite these advantages, the antimony anode suffers from a poor cyclic performance due to its huge volume change both in lithium-ion batteries (LIBs) (ca. 147%) and sodium-ion batteries (ca. 293%) [2]. The repeated volume changes causes series of adverse consequences including particle cracking, electrode pulverization, and continuous solid electrolyte interface (SEI) layer disruption and growth [2, 10]. As a consequence, it remains a big challenge to improve the cyclic stability of the antimony based lithium/sodium-ion battery anodes. Various strategies have been proposed to address this issue including decreasing particle size, creating hollow structures and compositing Sb with carbon and other materials as buffer medium [9, 11, 12, 13, 14, 15, 16, 17, 18, 19, 20, 21, 22, 23, 24, 25, 26, 27, 28, 29, 30, 31, 32]. Among these approaches, reducing particle size and compositing with carbonaceous matrix are particularly attractive methods to improve the electrochemical performance of antimony based lithium-ion battery anodes [33, 34, 35, 36]. However, the nano structures cause a few additional problems such as increasing the possibility of side reaction, low tap density, difficult to scale up, and non-compatible with industrial processing technologies [37]. It is essential to develop new strategies to synthesize hierarchical micro-/nanohybrid antimony based anodes in a scalable way, which possess the advantages of both micro and nano-scale structures.

In recent work we have developed new concepts to synthesize hierarchical micro-/nanohybrid lithium-ion battery anodes in a facile scalable way [38, 39, 40, 41, 42]. Super-small nanoparticles are in situ synthesized and homogeneously embedded in micrometer-sized carbon matrix. Instead of conventional aqueous or organic solvents, difunctional methacrylate monomers are used as solvent and carbon source. The precursors of TiO2, silicon oxycarbide (SiOC), or manganese oxide (MnO) are homogeneously dissolved in a methacrylate resin monomer solution. By utilizing photo or thermal polymerization, the structure units of the TiO2, SiOC, or MnO are integrated into the cross-linking network of the methacrylate polymers [38, 39, 40, 41, 42]. Due to the thermosetting nature of the difunctional methacrylates, only a very limited melting process happens during the carbonization process under inert atmosphere. The nucleation, growth, and agglomeration of the nanoparticles are significantly inhibited within the in situ formed carbon matrix. As a result, super-small nanoparticles are in situ formed and homogeneously embedded in the continuous micrometer sized carbon matrix. Unique electrochemical performance as lithium-ion battery anodes has been demonstrated. For example, the TiO2/C nanohybrids exhibit no characteristic lithiation/delithiation plateaus due to their super-small size and poor crystallinity [41]. Such behavior is good for lifting the overall energy density when utilized in full lithium-ion battery because the output voltage is increased.

Despite the success of the strategies in our previous work, no material based on alloying lithiation reaction has been synthesized with this concept. In this work, we demonstrate the feasibility of synthesizing antimony/carbon hierarchical micro-/nanohybrids using difunctional methacrylate monomers (Bis-GMA and TEGDMA) as a reaction medium and carbon source (Scheme 1). The liquid antimony(III) n-butoxide is used as the precursor of Sb, which is well mixed with the methacrylate resin solution. The fast photo polymerization process allows the methacrylate monomers to instantly polymerize. As a result, the antimony species are homogeneously integrated into the cross-linked methacrylate network at a molecular level. After calcination in argon/hydrogen atmosphere, the Sb nanoparticles are in situ formed due to carbothermal reduction and embedded homogeneously in the in situ formed carbon matrix. Consequently, the growth and agglomeration of the antimony nanoparticles are limited, which helps to elevate the impact of the volume change on the cyclic stability of the antimony based anode. Furthermore, the carbon matrix surrounding the antimony nanoparticles helps to withstand the volume expansion of the antimony nanoparticles and absorb the mechanical stress generated by the volume change. By combining the approaches of morphology control, spatial dispersion, and compositing with carbon matrix, the electrochemical performance of the antimony based anode is expected to be improved.

Scheme 1   Synthesis of the Sb/C hierarchical micro-/nanohybrid using dental methacrylate monomers as solvent and carbon source via photo polymerization.

2 Experimental Section

2.1 Chemicals

Antimony(III) n-butoxide (Alfa Aesar Co., Ltd., China), bisphenol A glycidyl dimethacrylate (Bis-GMA, Reagent Grade, Aladdin Reagent Co., Ltd., China), triethylene glycol dimethacrylate (TEGDMA, 95%, Aladdin Reagent Co., Ltd., China), phenyl bis (2, 4, 6-trimethyl benzoyl)-phosphine oxide (Irgacure I819, Sigma-Aldrich), conductive carbon super P (SCM Chem. Shanghai, China), poly (vinylidene fluoride) (PVDF, Solvay), and antimony powder (Aladdin Reagent Co., Ltd., Shanghai, China) were all used as received without further purification.

2.2 Sample Preparation and Characterization

The typical sample preparation procedure was similar to our previous reported work [38, 39, 40, 41, 42]. The Bis-GMA and TEGDMA were mixed together with a mass ratio of 2:3. The photo initiator of I819 was dissolved in the resin mixture with a mass ratio of 2% by continuous stirring and heating at around 80 °C. Thereafter, 0.25 g of antimony(III) n-butoxide was added to 2.0 g of the photoactive B/T solution (B refers to Bis-GMA, T refers to TAGDMA) and stirred for about 30 min. The solution was then transferred into a silicone rubber mould (1 cm×4.5 cm×0.4 cm) clamped by two glass slides. The mould was placed inside a visible light-curing unit (Huge G01D05; blue light: 9 W; emission wavelength range: 430-510 nm) for photo polymerization. Illumination was applied for 2 min each side. After illumination, the solid samples were cut into small particulate powders with an approximate diameter in the range of 0.1-1 mm by a mixer. Calcination in argon/hydrogen atmosphere (Ar/H2 95:5 by volume) was carried out at 600 °C for 4 h in a tube furnace. A ramp rate of 5 K/min was applied starting from room temperature, followed by natural cooling to room temperature. The Sb/C micro-/nanohybrid obtained were further ball milled with a planetary ball miller (FRITSCH-pulverisette 7, Germany). The ball miller, ball-milling procedure and parameters applied were identical to our previous work [39, 41, 42]. The pure carbon sample was synthesized following the same protocol without the addition of the antimony(III) n-butoxide.

Field emission scanning electron microscopy (FESEM) images were obtained with a Hitachi S4800 scanning electron microscope (Tokyo, Japan) at an accelerating voltage of 4 kV. The sample powder was put on a conductive tape and sputtered with platinum before imaging. Energy dispersive X-ray spectroscopy (EDX) images were recorded with FEI QUANTA 250 FEG (America FEI) at an accelerating voltage of 15 kV. Transmission electron microscopy (TEM) data were collected with a TF20 TEM (Tecnai F20, America FEI, USA) operated at 200 kV. The TEM samples were prepared by putting a drop of aqueous suspension on a carbon-supported copper grid. The average size of the antimony nanoparticles was measured based on twelve individual nanoparticles.

The crystallographic phases of the antimony particles of the Sb/C micro-/nanohybrid were investigated by X-ray diffraction (XRD) (Bruker AXS D8 Advance, Germany, λ=1.541 Å, 2.2 kW) with a 2θ ranging from 5° to 90°. The carbon content of the Sb/C micro-/nanohybrid was measured by a thermo gravimetric analyzer (TGA, Mettler Toledo, Switzerland) with the temperature range from 50 to 800 °C and a ramp rate of 10 K/min in air. The Raman spectra were collected by a Renishaw (inVia reflex, UK) with a wavelength of 532 nm. The antimony content in the Sb/C micro-/nanohybrid was studied by inductively coupled plasma optical emission spectrometer (ICP-OES, Perkin-Elmer, USA). Specifically, 0.01 g Sb/C power was added to the tempered volumetric flask with 5 ml H2SO4 (95.0%-98.0%), 9 ml HCl (36.0%-38.0%) and 3 ml HNO3 (65.0%-68.0%). The digestion process was performed at 200 °C for 30 min. The pore size distribution of the nanohybrids was obtained by the Barrett-Joyner-Halenda (BJH) method. Surface area was measured with the Brunauer-Emmett-Teller (BET) method. The vacuum point was set at 100 μm Hg. The desorption temperature range was set from 120 to 300 °C and held for 400 min at 300 °C. The isothermal curve was collected by 60 data points. Small-angle X-ray scattering (SAXS) measurements were performed using a Ganesha 300XL SAXS-WAXS system (SAXS LAB ApS, Copenhagen/Denmark) with an X-ray wavelength of 0.154 nm (Cu anode). The detector was positioned at a distance of 1051 mm from the sample. Glass capillaries were used as sample containers for the SAXS measurements.

2.3 Electrochemical Measurement

2032-type coin cells composed of a cylindrical pad with 20 mm in diameter and 3.2 mm in height were fabricated using lithium foil as a counter electrode. A slurry mixture was prepared by dispersing active material, Super P, and poly (vinylidene fluoride) (PVDF) (mass ratio: 8:1:1) in N-methyl pyrrolidone (NMP). The electrodes were prepared by spreading the slurry mixture on a piece of copper foil, followed by drying at 80 °C in vacuum for 12 h. The copper foil was pressed, cut into appropriate dimension, and then further dried in an oven at 80 °C for 4 h. Commercial electrolyte (Dongguan shanshan battery material Co., LTD) was used, where 1.0 M LiPF6 was dissolved in a mixture of ethylene carbonate (EC) and diethyl carbonate (DMC) (1:2 v/v). The electrolyte for NIBs was made up by Suzhou Fosai New Material Co., LTD, where 1.0 M NaPF6 was dissolved in a mixture of ethylene carbonate (EC) and diethyl carbonate (DMC) (1:1v/v), with 5% fluoroethylene carbonate (FEC). The separators in LIBs and NIBs were purchased from Celgard, LLC (C210, PP/PE/PP, 16 μm) and GE Whatman, LLC (1825-257 glass microfiber filters, 2.57 mm), respectively.

The rate performance and cyclic performance of the assembled coin cells were tested using a multichannel Land Battery Test System. The rate performance was measured at the current density sequence of 66, 132, 330, 660, 1320, 3300 and 66 mA g-1 in a voltage range between 3.0 and 0.005 V (vs. Li/Li+ or Na/Na+) (five cycles at each current density). The cyclic measurement was carried out at a current density of 66 mA g-1 in the voltage range of 3.0-0.005 V (vs. Li/Li+) for 300 rounds or in the range of 3.0-0.005 V (vs. Na/Na+) for 100 rounds. The specific capacity was calculated on the basis of the active material only. The lithiation/sodiation and delithiation/desodiation processes were indexed as the discharge and charge processes respectively. A CHI 1040B potentiostat/galvanostat analyzer (Shanghai Chenhua instrument Co., Ltd.) was used to carry out cyclic voltammetry test at a scanning rate of 0.01 mV/s with the voltage range between 0.005 and 3.0 V.

3 Results and Discussion

SEM images of the Sb/C and pure carbon sample are shown in Fig. 1. Very similar featureless particles with a broad size distribution from about 100 nm to 2 μm are observed in both the Sb/C and carbon samples. The particles with the size in the nanometer range are likely the result of the ball milling treatment. The powders after calcination are mainly in the form of micrometer-size structure feature. It is difficult to identify the Sb species by SEM because the Sb nanoparticles are well embedded in the continuous carbon matrix. The SEM images suggest that the Sb/C micro-/nanohybrid is featured with hierarchical micro-/nano scale particulate powder.

Fig. 1   Low magnification a, c and high magnification b, d SEM images of the Sb/C micro-/nanohybrid a, b, pure carbon c, d.

The morphology of the Sb/C micro-/nanohybrid is further studied with TEM, as presented in Fig. 2. Pentagonal Sb nanoparticles whose size ranges from 90 to 150 nm are homogeneously embedded in the carbon matrix. Besides, some tiny nanoparticles around 20-30 nm are also observed in Fig. 2a. The selected area electron diffraction (SAED) pattern indicates that the Sb nanoparticles are well crystallized. Lattices of the Sb nanoparticles are clearly displayed by the HRTEM image (Fig. 2b). The (012) crystal plane of a rhombohedral phase with a distance of 0.31 nm is observed. The HRTEM image results are consistent with the SAED pattern, both of which confirm the existence of crystalline antimony nanoparticles within the carbon matrix. The TEM images of the pure carbon sample are shown in Fig. 2c, d. However, no local crystalline domains are observed, which indicates that the carbon matrix is mainly amorphous.

Fig. 2   TEM images of the Sb/C micro-/nanohybrid a, b, pure carbon c, d. Inset: SEAD pattern (in a) and local crystal plane of the antimony particles (in b) .

Furthermore, the spatial distribution of the antimony species in the area of with different sizes is characterized by both STEM and EDX. The STEM (Fig. 3a, c, e) prove the embedding of the antimony nanoparticles within the carbon matrix in a region with a dimension of 1000 nm × 1000 nm. It can be found that the antimony species is also homogeneously dispersed in carbon matrix in a large size scale area (around 30 μm×30 μm), as shown by the EDX images (Fig. 3b, d, f). It is known that the spatial resolution of the EDX technique is lower compared to the size of the antimony nanoparticles revealed by TEM. However, it is reasonable to tell that the antimony nanoparticles are homogeneously embedded in the carbon matrix by combinating the imaging analysis of both the STEM and EDX.

Fig. 3   STEM a, c, e and EDX b, d, f images of the Sb/C micro-/nanohybrid: TEM image a and SEM image b, elemental mapping of carbon c, d, Sb e, f.

The X-ray diffraction (XRD) patterns of the Sb/C nanohybrid and pure carbon are shown in Fig. 4a. The peaks located at 23.7°, 25.1°, 28.7°, 40.1°, 41.9°, 47.1°, 48.4°, 51.9°, 59.4°, 62.8°, 64.8°, 65.9°, 68.5°, 71.5°, 75.3°, 76.6°, and 78.4° are displayed. These peaks correspond to the (003), (101), (012), (104), (110), (015), (006), (202), (024), (107), (205), (116), (122), (018), (214), (304), and (207) crystal planes of the rhombohedral phase of the Sb (JCPDS No. 35-0732) [13]. No clear additional peaks from impurities are observed. It implies that the antimony(III) n-butoxide precursor is fully converted to the pure elemental Sb species by the carbothermal reduction process [13, 14, 25, 26]. No characteristic peaks belonging to the carbon matrix is detected. It indicates that the carbon matrix of the Sb/C micro-/nanohybrid is mainly amorphous. Regarding the pure carbon sample, a broad peak located at between 20° and 30° is displayed. It suggests that local graphitic structure exists within the carbon matrix.

Fig. 4   XRD a, Raman b, TGA c profiles of the Sb/C micro-/nanohybrid (red) and pure carbon (black), TGA d profile of commercial antimony powders.

The Raman spectra of the Sb/C micro-/nanohybrid and pure carbon are displayed in Fig. 4b. Two typical bands located at 110 and 150 cm-1 are associated with the Sb phase in the nanohybrid [43, 44, 45]. The two prominent peaks at 1350 and 1590 cm-1 are assigned to the disorder-induced phonon mode (D band) and graphite mode (G band) of the carbon matrix respectively [25, 26]. The integrative intensity ratio of the G band and D band (IG/ID) is an indication of the degree of graphitization of the carbon matrix [16, 43, 46, 47, 48]. The ratios are calculated to be 0.51 and 0.49 regarding the Sb/C micro-/nanohybrid and pure carbon respectively. The slightly higher IG/ID value of the Sb/C micro-/nanohybrid indicates that it has a better degree of graphitization. A better electric conductivity of the Sb/C micro-/nanohybrid is possible compared to the pure carbon sample [25]. Even though no clear local graphitic structures are observed by TEM in the Sb/C sample, the Raman spectroscopy suggests the existence of the local graphitic carbon within the Sb/C micro-/nanohybrid.

The content of the metallic Sb in the Sb/C micro-/nanohybrid is measured by the thermo gravimetric analysis (TGA). As presented in Fig. 4c, a major mass loss occurs above 400 °C, which is caused by the combustion of carbon. After 490 °C, the rate of mass loss is significantly retarded, which is mainly ascribed to the oxidation of the Sb nanoparticles. It is noted that the initial mass loss temperature of the Sb/C micro-/nanohybrid is lower than that of the pure carbon. Good thermal conductivity of the metallic Sb nanoparticles promotes heat transfer to the surrounding carbon matrix, leading to a faster mass loss compared to the pure carbon sample. According to the TG curve, the content of the metallic Sb in the Sb/C micro-/nanohybrid is calculated to be 16 wt % based on the following equation (assuming the final product is Sb2O4) [14, 49].

${\text{Sb}}\,\left( {{\text{wt}}\% } \right) = 100 \times \frac{{{\text{molecular}}\,{\text{weight}}\,{\text{of}}\,{\text{Sb}}}}{{{\text{molecular}}\,{\text{weight}}\,{\text{of}}\,{\text{Sb}}_{2} {\text{O}}_{4} }} \times \frac{{{\text{final}}\,{\text{mass}}\,{\text{of}}\,{\text{Sb}}_{2} {\text{O}}_{4} }}{{{\text{initial}}\,{\text{mass}}\,{\text{of}}\,{\text{Sb/C}}\,{\text{nanohybrid}}}}.$

However, the Sb content measured by ICP-OES is 40%. The discrepancy between the TGA and ICP results indicate that there may be additional antimony loss during the TGA measurement because of the moderate melting point of the antimony metal [8]. In order to demonstrate this assumption, commercial Sb powders were measured by TGA at the same condition. As shown in Fig. 4d, an obvious mass increment is occurred about 420 °C, which attributed to the oxidation of Sb. After about 550 °C, a drastic mass loss is displayed due to the evaporation of Sb. These mass changes of Sb are all consistent with the slope variations of Sb/C nanohybrid’s TGA curve shown in Fig. 4c.

The porosity and specific surface area of the Sb/C micro-/nanohybrid and pure carbon are investigated by the nitrogen adsorption-desorption measurement (Fig. 5). As shown in Fig. 5a, both samples possess type IV adsorption-desorption isotherm with a H3 hysteresis loop at the range of 0.8 P/P0-1.0 P/P0. The profiles indicate the existence of mesoporous structures in both the Sb/C and pure carbon samples [49, 50, 51, 52, 53]. The Brunauer-Emmett-Teller (BET) specific area of the Sb/C nanohybrid and pure carbon are 286.1 and 392.7 m2 g-1 respectively. The decrease of the BET specific area of the Sb/C micro-/nanohybrid partially originates from the non-porous structure feature of the antimony nanoparticles. Besides, the incorporation of the antimony species may also modify the structure of the carbon matrix because the precursor is integrated into the dimethacrylate cross-linking network at molecular level through alcoholysis reaction. It acts as a secondary cross-linking point in the dimethacrylate network besides the vinyl bond. As a result, the emission of the volatile molecules during carbonization is inhibited, leading to less porous structure and reduced specific surface area. The corresponding Barrett-Joyner-Halenda (BJH) pore size distribution curves (Fig. 5b) of the Sb/C micro-/nanohybrid and pure carbon show multimode pore size distribution profiles. The pore diameters of the Sb/C micro-/nanohybrid are around 3.8, 10.9 and 75.4 nm. And the pure carbon possesses pores with the average sizes of 7.6, 12.3 and 80.9 nm. The mesopores are supposed to exist within the carbon matrix and the macropores originate from particle packing.

Fig. 5   Nitrogen adsorption-desorption isotherms a, corresponding pore size distribution b of the Sb/C micro-/nanohybrid (red) and pure carbon (black) .

As a complementary method, the average pore size distribution is investigated by small-angle X-ray scattering (SAXS) [41, 42]. For analysis of the SAXS data as shown in Fig. 6, different spheres form factors with Gaussian size distribution are used in data fitting. The broad peak present in the data corresponds to a structure factor of the middle-sized pores, which reveals the dispersion of an ordered structure inside the entire sample. After adding Sb, the position of the broad structure factor peak shifts to a higher q value, demonstrating a decrease of the distance between two neighboring middle-sized pores. Also, for the data of the Sb/C sample, an additional form factor is used to fit the data. Results show that the sizes of different pores have a wide distribution and decrease slightly with the incorporation of Sb. Both findings are consistent with the analysis of the BJH pore size distribution.

Fig. 6   Small angle X-ray scattering (SAXS) profiles of the Sb/C micro-/nanohybrid (red) and pure carbon (black) .

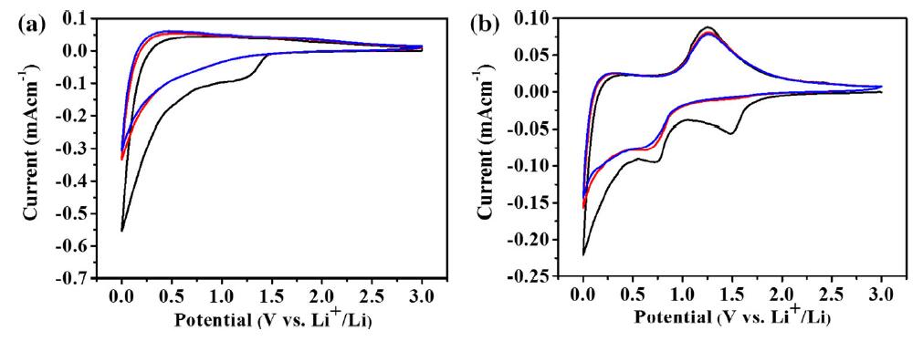
The cyclic voltammetry (CV) curves of the Sb/C micro-/nanohybrid and pure carbon are shown in Fig. 7. In Fig. 7a, there are no significant peaks during the scans except a broad peak located between 0.8 and 1.5 V, which is related to the formation of the solid electrolyte interface (SEI) film on the pure carbon surface [40, 41]. As for the Sb/C micro-/nanohybrid, there are two broad peaks located around 0.8 and 1.6 V respectively in the first cathodic scan (Fig. 7b). The peak at 0.8 V is attributed to the lithiation reaction of the metallic antimony to form Li3Sb and the formation of SEI layer [13, 15, 54, 55, 56, 57]. And the peak located 1.6 V could be derived from the irreversible reaction of surface functional groups. These functional groups could be remained after the relative low-temperature calcination. This irreversible reaction is also embodied in the CV curve of pure carbon sample. During the initial three anodic scans, the peaks at about 1.1 V are ascribed to the delithiation reaction of the alloyed Li3Sb to re-form the metallic antimony [55, 56, 57, 58, 59]. The oxidation and reduction peaks are almost fully overlapped from the second cycle. It indicates good electrochemical reversibility of the Sb/C nanohybrid during the lithiation-delithiation process.

Fig. 7   Cyclic voltammetry profiles of the pure carbon a and Sb/C micro-/nanohybrid b. The curves with black, red, and blue colors refer to the 1st, 2nd, and 3rd cycle, respectively.

Figure 8 shows the discharge/charge curves of the Sb/C micro-/nanohybrid and pure carbon for the 1st, 2nd, 50th and 200th cycles under a constant current density of 66 mA g-1. As shown in Fig. 8a, there are no clear plateaus in the discharge/charge curves of the pure carbon. It is a typical characteristic pattern for hard carbon derived from the pyrolysis of polymer [60, 61]. The initial lithiation capacity of the pure carbon is 956 mAh g-1, and it decreases to 350 and 330 mAh g-1 after 50 and 200 cycles respectively. In Fig. 8b, the voltage profiles of the Sb/C micro-/nanohybrid show sloping plateaus in both the discharge and charge processes. The discharge plateau at around 0.8 V and charge plateau at ca. 1.05 V are related to the reversible Li-Sb alloying/dealloying process, which are consistent with the CV scans. The discharge capacity for the first cycle is 1164 mAh g-1 and corresponding charge capacity is 459 mAh g-1. The second cycle exhibits a lithiation and de-lithiation capacity of 463 and 425 mAh g-1 respectively, with a coulombic efficiency of 93%. The capacity contributed by the Sb phase is estimated to be around 523 mAh g-1 based on the carbon content of the Sb/C micro-/nanohybrid and capacity of the pure carbon sample. After 50 and 200 cycles, the lithiation capacity of the Sb/C micro-/nanohybrid is 407 and 374 mAh g-1 respectively. It corresponds to capacity retention of 89 and 81% against the first charge capacity. It is worth noticing that from the 50th to the 200th cycle, the capacity only decays by 8%. It suggests that the average capacity decay rate per cycle is almost zero.

Fig. 8   Galvanostatic discharge/charge curves of the pure carbon a and Sb/C micro-/nanohybrid b. The 1st, 2nd, 50th, and 200th cycles are displayed by the black, blue, red, and cyan curves, respectively.

Figure 9a depicts the cyclic performance and coulombic efficiency of the Sb/C micro-/nanohybrid and pure carbon at the current density of 66 mA g-1. For the pure carbon electrode, the reversible capacity after 100 and 300 cycles are only 336 and 258 mAh g-1 respectively. However, the reversible capacities of the Sb/C micro-/nanohybrid electrode remain 413 mAh g-1 after 100 cycles with capacity retention of 90%. After 300 cycles, the reversible capacity is still around 362 mAh g-1, corresponding to capacity retention of 79%. Compared to the pure carbon sample, the reversible capacity after 300 cycles is improved by 40%. The average capacity decay rate of the Sb/C micro-/nanohybrid is 0.7% per cycle compared to 0.9% of the pure carbon. The coulombic efficiency of both samples increase to over 99% after the first cycle and remain stable for the rest of the cycles. Even though the Sb/C micro-/nanohybrid suffers volume change from the lithiation-delithiation process, the cyclic stability is still better than that of the pure carbon sample. The nanoscale size of the antimony particles reduces the absolute volume change value and corresponding mechanical stress per each particle. It contributes to stabilize the electrode during repeated lithiation-delithiation process. The homogeneous embedding of the Sb nanoparticles in the carbon matrix also helps the carbon matrix to withstand the volume change and mechanical stress.

Fig. 9   Cycling performance at the current density of 66 mA g-1 a and rate performance b of the pure carbon (black) and Sb/C micro-/nanohybrid (red), hollow circle represents charge process and solid circle represents discharge process.

As shown in Fig. 9b, the rate performance of the Sb/C micro-/nanohybrid and pure carbon electrode are tested at different current densities from 66 to 3300 mA g-1. When the current density is lower than 660 mA g-1, the reversible capacities of the Sb/C micro-/nanohybrid are around 100 mAh g-1 higher than those of the pure carbon. The Sb/C micro-/nanohybrid could attain the average capacities of 556, 489, 398 and 305 mAh g-1 at the current density of 66, 132, 330 and 660 mA g-1 respectively. The corresponding average capacities of the pure carbon are 467, 363, 281 and 225 mAh g-1 at the same current density. The average capacity of Sb/C micro-/nanohybrid is higher than that of the pure carbon by about 19%, 34%, 42%, and 36% at the current density of 66, 132, 330 and 660 mA g-1, respectively. With the current density increased to 1320 and 3300 mA g-1, both the Sb/C micro-/nanohybrid and the pure carbon electrode exhibit similar capacities because the current densities are too high for both samples. When the current density returns 66 mA g-1, the reversible capacities of the Sb/C micro-/nanohybrid and pure carbon electrode are almost fully recovered. And the reversible capacities of the Sb/C micro-/nanohybrid are still around 100 mAh g-1 higher than those of the pure carbon (522 vs. 425 mAh g-1). The rate performance test indicates that the Sb/C micro-/nanohybrid possesses good structure and cyclic stability. The incorporation of the antimony nanoparticles improves the rate performance. Firstly, the antimony species possesses higher specific capacity than pure carbon. Secondly, the antimony is of metallic and it has superior electron conductivity than the pure carbon. It helps to improve the electron conductivity of the nanohybrid. Thirdly, the size of the antimony nanoparticles is small and the particles are homogeneously embedded in the carbon matrix. As a result, it helps to accelerate the electrochemical kinetics with a moderate mass composition of antimony in the nanohybrid.

The electrochemical impedance spectroscopy (EIS) of the Sb/C micro-/nanohybrid and pure carbon is measured after three cycles at the current density of 66 mA g-1. As shown in Fig. 10, both samples exhibit similar EIS profile, including a depressed semicircle in the high frequency region and a sloped straight line in the low frequency. Generally, the semicircle corresponds to the charge-transfer resistance (Rct) occurring at the electrode/electrolyte interface, and the straight line stands for Warburg resistance associated with Li-ion diffusion process [19, 23]. The Rct values of the pure carbon and the Sb/C micro-/nanohybrid are fitted to be 212.2 and 208.4 Ω. The slightly decreased impedance of the Sb/C nanohybrid originates from the incorporation of metallic antimony nanoparticles into the carbon matrix.

Fig. 10   Electrochemical impedance spectra of the Sb/C micro-/nanohybrid (red) and pure carbon (black) .

It is well recognized that the mass loading density plays an important role in the electrochemical performance of the lithium-ion battery anode [62, 63, 64]. In this work, the mass loading density is controlled to be 1.3 mg cm-2. To elucidate the impact of the mass loading density on the electrochemical performance, the Sb/C micro-/nanohybrid electrode with reduced mass loading density is also tested. Figure 11 shows the discharge/charge profiles (Fig. 11a) and cyclic performance (Fig. 11b) of the Sb/C electrode with a mass loading density of 0.14 mg cm-2. Figure 11a shows the discharge plateau at 0.8 V and charge plateau at 1.05 V related to the reversible Li-Sb alloying/dealloying process, which are identical to the Sb/C electrode with a high mass loading density. Furthermore, the Sb/C micro-/nanohybrid with low mass loading density exhibits the lithiation capacities of 1965, 1196, 920, 820 mAh g-1 after 1, 2, 50, and 100 cycles, respectively. As shown in Fig. 11b, a much higher capacity is possessed by reducing the mass loading density. Specifically, a reversible capacity of 793 mAh g-1 is achieved after 100 cycles at the current density of 66 mA g-1. It is almost doubled compared to the electrode with high mass loading density.

Fig. 11   Galvanostatic discharge-charge curves a and cycling performance b of the Sb/C micro-/nanohybrid electrode with a mass loading density of 0.14 mg cm-2 at the current density of 66 mA g-1. The curves with the black, blue, red, and dark cyan color in image are referred to the 1st, 2nd, 50th, and 100th cycles, respectively.

Figure 12a presents the cyclic performance and coulombic efficiency of the Sb/C micro-/nanohybrid and pure carbon as NIB anodes at the current density of 66 mA g-1. For the pure carbon electrode, the reversible capacity after 100 circles is 130 mAh g-1 with relative high capacity retention of 91%. Compared with that, the Sb/C nanohybrid NIB anode maintains a reversible capacity of 98 mAh g-1 after 100 circles. The capacity retention of the Sb/C micro-/nanohybrid is 40%. The poor cycling stability of Sb/C nanohybrid is mainly attributed to the large volume change of Sb during the sodiation/de-sodiation process [2, 8, 9]. However, in the first 40 rounds, the reversible capacity of Sb/C micro-/nanohybrid is higher than that of pure carbon, which is the result of relative high theoretical capacity of Sb.

Fig. 12   Cycling performance at the current density of 66 mA g-1 a and rate performance b of the pure carbon (magenta) and Sb/C micro-/nanohybrid (blue) as NIB anodes. Hollow circle: charge process, solid circle: discharge process.

As shown in Fig. 12b, the rate performance of the Sb/C micro-/nanohybrid and pure carbon electrode in NIBs are tested at different current densities from 66 to 3300 mA g-1. When the current density is lower than 660 mA g-1, the reversible capacities of the Sb/C micro-/nanohybrid are higher than those of the pure carbon. The Sb/C micro-/nanohybrid could reach the average capacities of 180, 141, 99 and 65 mAh g-1 at the current density of 66, 132, 330 and 660 mA g-1respectively. The corresponding average capacities of the pure carbon are 96, 84, 56 and 32 mAh g-1 at the same current density. However, under the high current density of 1320 and 3300 mA g-1, both the Sb/C micro-/nanohybrid and the pure carbon electrode exhibit similar capacities because the current densities are too high for both samples. When the current density returns to 66 mA g-1, the reversible capacities of the Sb/C micro-/nanohybrid and pure carbon electrode are almost fully recovered, and the reversible capacities of Sb/C micro-/nanohybrid is still higher than that of the pure carbon. In general, the Sb/C micro-/nanohybrid shows moderate electrochemical performance as NIB anodes, where the rate performance is better than that of the pure carbon sample [30, 51].

4 Conclusion

Sb/C hierarchical micro-/nanohybrids have been synthesized utilizing difunctional methacrylate monomers as solvent and carbon source. The liquid antimony(III) n-butoxide is fully mixed with the resin monomer solution, which is further incorporated into the dimethacrylate cross-linking network at molecular level after photo polymerization. The high temperature pyrolysis under Ar/H2 atmosphere converts the antimony species into elemental Sb nanoparticles via carbothermal reduction. The Sb nanoparticles are homogeneously embedded in the in situ formed continuous micrometer-sized carbon matrix. The morphology, structure, crystallinity, spatial dispersion, and composition of the Sb/C micro-/nanohybrid are systematically investigated by SEM, TEM, EDX, STEM, XRD, SAXS, Raman, TGA, ICP, and nitrogen adsorption/desorption experiment. The cyclic stability and rate performance of the Sb/C micro-/nanohybrid as lithium-ion battery anode are significantly improved compared to the pure carbon sample. The nanoscale structure feature of the antimony particles, homogeneous embedding within the micrometer scale carbon matrix and intrinsic good electron conductivity of the antimony contribute to the improved electrochemical performance. Moreover, the impact of the mass loading density on the cyclic performance of the Sb/C micro-/nanohybrid anode is also investigated. With reducing mass loading density, high reversible capacities after 100 cycles are achieved. Besides, the application of the Sb/C micro-/nanohybrid as sodium-ion battery anode is also investigated.

Acknowledgements

This research is funded by the Natural Science Foundation of China (No. 51702335), open project of the Beijing National Laboratory for Molecular Science (No. 20140138), the CAS-EU S&T cooperation partner program (No. 174433KYSB20150013) and the Key Laboratory of Bio-based Polymeric Materials of Zhejiang Province. Sen-Lin Xia acknowledges the China Scholarship Council (CSC) and Peter Müller-Buschbaum acknowledges funding by the International Research Training Group 2022 Alberta/Technical University of Munich International Graduate School for Environmentally Responsible Functional Hybrid Materials (ATUMS).

The authors have declared that no competing interests exist.


/