超细晶304L不锈钢在含Cl-溶液中点蚀行为的研究
朴楠1,2, 陈吉1, 尹成江1,3, 孙成4, 张星航4, 武占文5
1 辽宁石油化工大学机械工程学院石油化工过程腐蚀与防护中心, 抚顺 113001
2 清华大学核能与新能源技术研究院, 北京 100084
3 东北石油大学机械工程学院, 大庆 163318
4 Department of Mechanical Engineering, Texas A&M University, College station, TX 77843-3123, USA
5 中海油能源发展股份有限公司管道工程分公司, 天津 300452

朴 楠, 女, 1989年生, 硕士生

摘要

采用动电位极化、循环极化、电化学阻抗谱、Mott-Schottky曲线结合表面形貌观察, 研究了利用等通道转角挤压方法制备的晶粒尺寸为(130±30) nm的超细晶304L不锈钢在含Cl-溶液(0.05 mol/L H2SO4+ 0.05 mol/L NaCl)中的点蚀行为. 研究表明, 超细晶材料比粗晶材料具有更高的腐蚀电流密度和钝化电流密度, 更低的腐蚀电位、破钝电位和保护电位, 且钝化区更窄. 严重塑性变形引起304L不锈钢材料晶粒显著细化, 一方面增加了表面钝化膜的施主密度和扩散系数, 降低了钝化膜的致密性, 使Cl-在材料表面的吸附能力增强; 另一方面增加了晶界含量, 使Cl-沿晶界向内扩散能力增强, 促进了点蚀形核和长大.

关键词: 304L不锈钢; 等通道转角挤压; 超细晶; 钝化膜; 点蚀
中图分类号:TG172
INVESTIGATION ON PITTING CORROSION BEHAVIOR OF ULTRAFINE-GRAINED 304L STAINLESS STEEL IN Cl- CONTAINING SOLUTION
Nan PIAO1,2, Ji CHEN1, Chengjiang YIN1,3, Cheng SUN4, Xinghang ZHANG4, Zhanwen WU5
1 Center of Corrosion and Protection Technology in Petro-Chemical Industry, Department of Mechanical Engineering, Liaoning Shihua University, Fushun 113001
2 Institute of Nuclear and New Energy Technology, Tsinghua University, Beijing 100084
3 Department of Mechanical Engineering, Northeast Petroleum University, Daqing 163318
4 Department of Mechanical Engineering, Texas A&M University, College station, TX 77843-3123, USA
5 CNOOC Energy Technology and Services-Pipe Engineering Co., Tianjin 300452
Correspondent: CHEN Ji, professor, Tel: (024)56865042, E-mail:jchen_Lsu@qq.com
Abstract

The electrochemical behavior and pitting corrosion in a Cl- containing solution (0.05 mol/L H2SO4+0.05 mol/L NaCl) of the ultrafine-grained 304L stainless steel (304L SS) with average grain size of (130±30) nm prepared by equal channel angular pressing (ECAP) technique were examined using potentiodynamic polarization curves, cycle polarization curves, electrochemical impedance spectroscopy (EIS), Mott-Schottky (M-S) curve measurements together with SEM observation of surface morphology. As compared to the coarse-grained counterpart, the ultrafine-grained sample exhibited a higher corrosion current density icorr of 81.74 Acm2 and a lower corrosion potential Ecorr (vs SCE) of -466 mV, and having a higher passivation current density ip of 32.38 mAcm2 and a narrower passive region (-315~450 mV) together with a breakdown potential Eb decrease of 100 mV and a protection potential Ebp decrease of 190 mV. On one hand, the grain refinement induced by severe plastic deformation deteriorates the compactness of the passive films and is helpful for the Cl- absorption, resulting in a 1.6 times increase of the carrier density and one order of magnitude increase of the diffusion coefficient in the passive films. On the other hand, the significant increase of grain boundaries provides more possibility for Cl- diffusion along grain boundaries, and thus promotes the pitting nucleation and growth.

Keyword: 304L stainless steel; equal channel angular pressing (ECAP); ultrafine grain; passive film; pitting corrosion

当材料的晶粒尺寸被细化至亚微米[1]或纳米[2,3]尺度时, 材料的强度会显著提高, 而且其还会具有许多其它特殊的物理和化学性能[4]. 等通道转角挤压(ECAP)方法通过强烈塑性变形可以使材料的晶粒尺寸减小到亚微米尺度[5]. 利用ECAP方法制备的材料已取得多项突破性进展[6,7,8], 如Wang等[6]利用ECAP方法获得纳米结构的Cu材料, 该材料在具有高强度的同时具有65%的高延伸率. 近年来, 有关超细晶及纳米晶材料的电化学性能的研究逐渐引起各国学者的关注[9,10,11,12]. Liu等[9]系统评述了纳米晶材料的电化学腐蚀性能, 指出在活性溶解区间, 晶粒细化可加速腐蚀反应; 但在钝化区间, 晶粒细化可提高元素的扩散能力, 这可能会改变钝化膜的组成, 从而使材料的耐蚀能力提高.

不锈钢材料表面能形成一层稳定的钝化膜, 使其具有优良的耐蚀性. 目前, 利用 ECAP 方法制备块体超细晶不锈钢材料的研究还不多见. 一方面, 由于不锈钢材料具有较高的强度和加工硬化能力, 因而ECAP 方法的使用受到限制; 另一方面, 按照传统腐蚀理论, 随着晶界含量的增加, 系统整体能量会提高, 材料的腐蚀反应速度加快[13]. 超细晶及纳米晶材料的腐蚀是一个复杂的问题, 不但跟晶粒细化方式有关, 而且跟腐蚀介质和环境有关. Li等[14]曾报道, 在H2SO4+Na2SO4体系中, 不锈钢材料晶粒纳米化后显著提高了其耐蚀性. 韩啸等[15]对超细晶304L不锈钢在H2SO4+Na2SO4体系中的腐蚀及钝化性能进行了研究, 也发现超细晶粒具有类似的效应. Meng等[16]对溅射纳米晶Fe-Cr涂层的研究表明, 晶粒细化显著提高了材料的耐Cl?侵蚀性能. 而李雪莉等[13]对超声喷丸表面纳米化Fe-20Cr合金的研究发现, 晶粒细化后Fe-20Cr合金的耐Cl?侵蚀性能明显下降. Cl?在金属和合金的表面具有强烈的吸附作用, 极易引起材料发生点蚀. ECAP形成的超细晶不锈钢材料在含Cl?溶液中的点蚀研究尚少, 其耐蚀性及腐蚀机理尚存在较大争议. 本工作以铸态粗晶304L不锈钢作为参照, 利用ECAP方法制备超细晶304L不锈钢材料, 研究严重塑性变形方法形成的超细晶结构对304L不锈钢材料的耐Cl?点蚀性能的影响.

1 实验方法

实验选用304L不锈钢, 原始晶粒尺寸约为50 mm, 其化学成分(质量分数, %)为: Cr 18.19, Ni 8.04, Mn 1.68, Cu 0.55, Co 0.16, S 0.03, N 0.08, P 0.026, Mo 0.12, C 0.02, Fe 余量. 采用ECAP方法连续挤压铸态304L不锈钢(CG-304L SS) 6道次, 挤压温度为500 ℃, 工艺为Bc路径[17](Bc路径为相邻挤压道次间试样连续旋转90°, 挤压方向保持不变), 获得超细晶不锈钢材料(UFG-304L SS), 其晶粒尺寸细化至(130±30) nm[15].

材料的动电位极化、循环极化、Mott-Schottky(M-S)曲线及电化学阻抗谱(EIS)均在PARSTAT 2273电化学工作站上完成. 测试采用三电极体系, 即试样为工作电极, 石墨为辅助电极, 饱和甘汞电极(SCE) 为参比电极, 文中所有电位均以SCE作为参照. 用线切割切取10 mm×10 mm的正方形试样为工作电极, 试样背面点焊Cu导线, 用环氧树脂密封, 用SiC水砂纸从180号逐级打磨至2000号, 抛光水洗后用丙酮除油, 去离子水清洗后吹干待用. 因为Cl?属于强活性阴离子, 对不锈钢的点蚀极为敏感, 所以腐蚀介质选用0.05 mol/L H2SO4 + 0.05 mol/L NaCl溶液, 所有溶液均由分析纯化学试剂和去离子水配制而成. 在动电位极化和循环极化测试前, 分别将工作电极在-0.5 V下极化3 min以去除电极表面在空气中形成的氧化膜, 然后将其处于待测溶液中静置1 h. 动电位极化扫描速率选为0.5 mV/s[14], 使电极过程达到准稳态; 循环极化是一种暂态法, 扫描速率选为5 mV/s[18], 且从开路电位以下0.1 V向上正扫到1.0 V, 再回扫至开路电位.

循环极化测试后, 采用JSM-6301F型场发射扫描电镜(SEM)观察试样表面的腐蚀形貌. 基于极化曲线结果, 在稳定钝化区选择不同成膜电位分别对样品进行阳极极化30 min, 制备具有一定厚度的钝化膜用于M-S和EIS测试. M-S测试步长为20 mV, 频率为1 kHz, 激励信号为幅值5 mV的正弦波, 电位扫描区间为-0.1~0.8 V; EIS测试在开路电位下进行, 扰动电位为10 mV, 测试频率范围为100 kHz~50 mHz. 所有测试均采用恒温水浴, 温度为(25±0.5) ℃.

Fig.1 Potentiodynamic polarization curves (a) and cyclic polarization curves (b) of UFG-304L stainless steel (SS) and CG-304L SS in 0.05 mol/L H2SO4 + 0.05 mol/L NaCl solution ( iUFGp and iCGp—passive current densities of UFG-304L SS and CG-304L SS, EUFGp and ECGp—passivation potentials of UFG-304L SS and CG-304L SS, EUFGb and ECGb—breakdown potentials of UFG-304L SS and CG-304L SS, EUFGbp and ECGbp—protection potentials of UFG-304L SS and CG-304L SS)图1 UFG-304L SS和CG-304L SS在0.05 mol/L H2SO4+ 0.05 mol/L NaCl溶液中的动电位极化曲线和循环极化曲线

2 实验结果与讨论
2.1 超细晶结构对304L SS电化学腐蚀行为的影响

图1为UFG-304L SS和CG-304L SS在0.05 mol/L H2SO4+ 0.05 mol/L NaCl溶液中的动电位极化曲线和循环极化曲线, 其拟合结果列于表1. 由图1a可见, UFG-304L SS和CG-304L SS的动电位极化曲线形状相似, 都具有稳定的钝化区, 但UFG-304L SS的极化曲线整体明显向右下方偏移. 在活化区, UFG-304L SS的腐蚀电位Ecorr为-466 mV, 比CG-304L SS负移65 mV; 腐蚀电流密度icorr为81.74 mA/cm2, 是CG-304L SS的4.2倍. 在钝化区, UFG-304L SS的钝化区间(-315~450 mV)比 CG-304L SS(-305~600 mV)略窄; 钝化电位Ep为-315 mV, 比CG-304L SS负移10 mV; 维钝电流密度ip为32.38 mA/cm2, 是CG-304L SS的1.6倍. 由图1b可观察到典型的滞后环, 滞后环的存在说明在UFG-304L SS和CG-304L SS上均有点蚀的发生. 与CG-304L SS相比, UFG-304L SS的滞后环较大, 破钝电位Eb降低了100 mV, 保护电位Ebp降低了190 mV.

Table 1 Fitting results of the potentiodynamic polarization curves and cyclic polarization curves of UFG-304L SS and CG-304L SS in 0.05 mol/L H2SO4+ 0.05 mol/L NaCl solution 表 1 UFG-304L SS和CG-304L SS在0.05 mol/L H2SO4+ 0.05 mol/L NaCl溶液中的动电位极化曲线和循环极化曲线的拟合结果

Fig.2 SEM images of surface morphology for UFG-304L SS (a) and CG-304L SS (b) after cyclic polarization in 0.05 mol/L H2SO4+ 0.05 mol/L NaCl图2 UFG-304L SS和CG-304L SS在0.05 mol/L H2SO4+ 0.05 mol/L NaCl溶液中循环极化后表面腐蚀形貌的SEM像

在动电位极化曲线中, 活化阶段, EcorrUFG< EcorrCG, 表明UFG-304L SS在含Cl?溶液中发生腐蚀的激活能更低, 更易发生腐蚀; icorrUFG> icorrCG, 表明UFG-304L SS的腐蚀速率更快. 钝化阶段, UFG-304L SS的钝化区间较CG-304L SS更窄, ipUFG> ipCG,EpUFG< EpCG, 表明超细晶化后304L SS的钝化性能降低. 在循环极化曲线中, 滞后环越大, 材料表面钝化膜被破坏得越严重, 钝化膜的修复能力越差[19]. 钝化膜的Eb和Ebp是用来表征金属点蚀敏感性的2个基本电化学参数. 当电极电位高于Eb, 将形成新的点蚀, 已有的蚀孔会不断扩展长大; 当电极电位在Ebp和Eb之间时, 不会产生新的点蚀, 但已经存在的点蚀会继续扩展长大; 当电极电位低于Ebp, 不仅新的点蚀不会产生, 已经存在的点蚀也不会发展[16]. EbUFG< EbCG,EbpUFG< EbpCG, 表明UFG-304L SS在含Cl?溶液中点蚀敏感性增加.

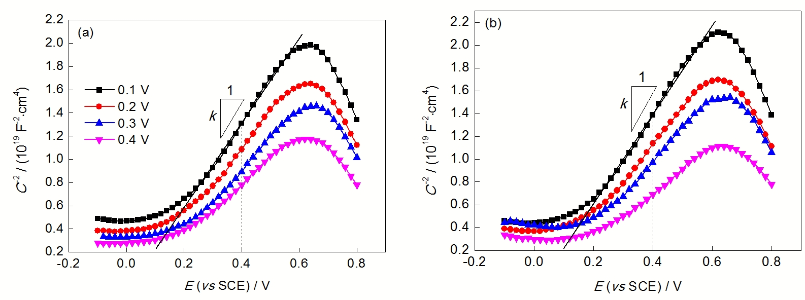
Fig.3 M-S curves of passive films formed on UFG-304L SS (a) and CG-304L SS (b) at different Ef in 0.05 mol/L H2SO4+ 0.05 mol/L NaCl solution (C—space charges capacitance of passive film, E—applied potential, Ef—formation potential of passive film, k—slope)图3 UFG-304L SS和CG-304L SS在0.05 mol/L H2SO4+ 0.05 mol/L NaCl溶液中不同Ef形成钝化膜的M-S曲线

通过ECAP连续挤压处理, 304L SS的晶粒显著拉长并细化, 平均晶粒尺寸由50 mm细化至(130±30) nm, 形成大量的高角晶界. 由于细晶材料晶界含量的显著增加, 系统能量随之增加, 可以促进304L SS的活化溶解, 降低其在含Cl?溶液中的表面钝化能力, 这与传统的腐蚀理论一致.

Fig.4 Relationships between Nd and Ef for the passive films of UFG-304L SS and CG-304L SS formed in 0.05 mol/L H2SO4+ 0.05 mol/L NaCl solution for 30 min (Nd—donor concentration)图4 UFG-304L SS和CG-304L SS在0.05 mol/L H2SO4+ 0.05 mol/L NaCl溶液中成膜30 min形成稳态钝化膜的Nd与Ef的关系

2.2 超细晶结构对304L SS点蚀形貌的影响

图2为UFG-304L SS和CG-304L SS在0.05 mol/L H2SO4+ 0.05 mol/L NaCl溶液中循环极化后表面腐蚀形貌的SEM像. 由图可见, 在UFG-304L SS表面分布的点蚀坑明显多于CG-304L SS, 表明UFG-304L SS在含Cl?溶液中点蚀敏感性增加, 更容易发生点蚀.

2.3 超细晶结构对304L SS钝化膜载流子密度的影响

图1a可知, 在0.1~0.5 V电位下, UFG-304L SS和CG-304L SS在0.05 mol/L H2SO4+0.05 mol/L NaCl溶液中可形成稳定的表面钝化膜. 为考察表面钝化膜的差别, 分别对2种材料在不同成膜电位Ef(0.1, 0.2, 0.3和0.4 V)下极化30 min以形成稳定的表面钝化膜. 图3为该条件下UFG-304L SS和CG-304L SS表面钝化膜的M-S曲线.

不锈钢表面钝化膜具有半导体特性[20], 其空间电荷层电容(C)与外加电位(E)关系可以用Mott-Schottky 理论来进行描述[21,22]:

C-2=kE-Efb-KTe(1)

对于n型半导体:

k=2εε0eNd(2)

对于p型半导体:

k=-2εε0eNa(3)

式中, Nd和Na分别代表施主和受主的载流子密度; k 为C-2与E线性关系的斜率; e0=8.85×10-12 F/m, 为真空电容率; e为室温下钝化膜的介电常数, 本工作取15.6[23]; Efb为平带电位; K=1.38×10-23J/K, 为Boltzmann常数; T为热力学温度; e=1.602×10-19C, 为单电子电量; 室温下KT/e约为25 mV, 可以忽略不计.

UFG-304L SS和CG-304L SS表面的钝化膜k值为正, 具有n型半导体特征. 可以根据k计算UFG-304L SS和CG-304L SS表面的钝化膜在不同Ef下的Nd, 计算结果如表2所示. 在相同Ef下, UFG-304L SS表面的钝化膜的施主密度约是CG-304L SS的1.1倍, 表明UFG-304L SS表面钝化膜的氧空穴缺陷数量更多, 这与UFG-304L SS表面钝化膜的ip的结果一致. 经ECAP处理形成的304L超细晶粒没有改变表面钝化膜的半导体类型, 但其增加了钝化膜的载流子密度, 促进了钝化膜的溶解过程, 从而降低了钝化膜的耐蚀性.

Table 2 Carrier densities (Nd) of passive films formed on UFG-304L SS and CG-304L SS at different Ef in 0.05 mol/L H2SO4+ 0.05 mol/L NaCl solution 表2 UFG-304L SS和CG-304L SS在0.05 mol/L H2SO4+0.05 mol/L NaCl溶液中不同Ef形成钝化膜的施主密度(Nd)

Fig.5 Relationships between Lss and Ef for the passive films of UFG-304L SS and CG-304L SS formed in 0.05 mol/L H2SO4+ 0.05 mol/L NaCl solution for 30 min (Lss—thickness of passive film)图5 UFG-304L SS和CG-304L SS在0.05 mol/L H2SO4+ 0.05 mol/L NaCl溶液中成膜30 min形成的Lss与Ef的关系

2.4 超细晶结构对304L SS钝化膜载流子扩散系数的影响

根据点缺陷(PDM)模型[24,25,26], Nd与Ef之间呈如下关系:

Nd=ω1expb?Ef+ω2(4)

式中, w1, w2 b为常数.

钝化膜中的施主缺陷的扩散系数D0可以表示为:

D0=-J02Gω2(5)

式中, J0为施主的稳态扩散通量, G是与平均电场强度 eL和温度相关的常数, 可以分别表示为:

J0=-ip2e(6)

G=FεLRT(7)

式中, F为Farady常数, R为气体常数, T为热力学温度, eL可以表示为:

εL=(1-α)EfLss+B(8)

式中, a是钝化膜/溶液界面的可极化率常数[23](本工作取 a=0.45), B为常数, Lss为空间电荷层的厚度(近似等于钝化膜厚度), 可以表示为:

Lss=εε0AC(9)

式中, A为钝化膜面积. 利用式(4)~(9)[27,28], 对钝化膜的Nd-Ef和Lss-Ef进行拟合, 可获得D0.

图4为UFG-304L SS和CG-304L SS表面钝化膜在0.05 mol/L H2SO4+ 0.05 mol/L NaCl溶液中的Nd-Ef数据. 根据式(4)拟合, 可以得到UFG-304L SS和CG-304L SS表面钝化膜中载流子与形成电位之间满足如下关系:

Fig.6 Nyquist plots of passive films on the UFG-304L SS and CG-304L SS formed in 0.05 mol/L H2SO4+ 0.05 mol/L NaCl solution at Ef =0.1 V (a), 0.2 V (b), 0.3 V (c) and 0.4 V (d) (Inset in Fig.6a shows the equivalent circuit. Rs—solution resistance, Rf—passive film resistance, Qf—passive film capacitance)图6 UFG-304L SS和CG-304L SS在0.05 mol/L H2SO4+ 0.05 mol/L NaCl溶液中不同Ef下形成钝化膜的Nyquist曲线

Nd=[6.19exp(-4.06Ef)+3.38]×1019cm-3(UFG-304LSS)[5.22exp(-5.50Ef)+3.55]×1019cm-3(CG-304LSS)(10)

图5为利用式(4), (6)~(10)计算的UFG-304L SS和CG-304L SS在0.05 mol/L H2SO4+ 0.05 mol/L NaCl溶液中的Lss-Ef数据. 相同Ef下, UFG-304L SS和CG-304L SS表面形成钝化膜的厚度差别不大. 不同Ef的Lss与Ef之间可用线性关系拟合, UFG-304L SS拟合直线的斜率小于CG-304L SS, 表明UFG-304L SS表面钝化膜的生长速度比CG-304L SS慢. 根据式(4)~(10)以及曲线拟合, 可获得UFG-304L SS和CG-304L SS表面钝化膜的扩散系数:

Fig.7 Schematics of pitting corrosion for UFG-304L SS (a) and CG-304L SS (b) in 0.05 mol/L H2SO4+0.05 mol/L NaCl (DB—diffusion coefficient of Cl- along grain-boundary, DL—diffusion coefficient of Cl- in lattice)图7 UFG-304L SS和CG-304L SS在0.05 mol/L H2SO4+0.05 mol/L NaCl溶液中点蚀示意图

D0=1.56×10-13cm2/s(UFG-304LSS)9.73×10-14cm2/s(CG-304LSS)(11)

可以看出, UFG-304L SS 的D0是CG-304L SS的1.6倍, 表明氧空位在UFG-304L SS钝化膜内的扩散更加容易. 与CG-304L SS表面钝化膜相比, UFG-304L SS表面钝化膜不仅点缺陷密度更大, 而且缺陷扩散的能力也更强, 这些都会导致UFG-304L SS表面钝化膜的耐蚀性更差.

2.5 超细晶结构对304L SS钝化膜致密性的影响

图6为UFG-304L SS和CG-304L SS在0.05 mol/L H2SO4+ 0.05 mol/L NaCl 溶液中以不同Ef形成表面钝化膜的Nyquist曲线. UFG-304L SS和CG-304L SS表面钝化膜的EIS形状基本相似, 均由一半圆容抗弧组成, 但UFG-304L SS表面钝化膜的阻抗模值较小. 采用图6a中的等效电路进行拟合, 结果见表3. 其中, Rs, Rf和Qf分别代表溶液电阻、钝化膜电阻和钝化膜电容. UFG-304L SS表面钝化膜的Rf在2.19×104~4.03×104 Ω/cm2范围内, 均低于相同Ef下CG-304L SS表面钝化膜的Rf.

图6表3可以看出, 随着Ef的增加, Rf逐渐增加, 表明钝化膜逐渐致密, 耐蚀性逐渐增强. 在相同Ef下, UFG-304L SS表面Rf均小于CG-304L SS, 表明UFG-304L SS表面钝化膜致密性低于CG-304L SS, 因此其耐蚀性更低, 这与文献[29,30]一致.

2.6 点蚀机制分析

根据点缺陷模型(PDM)[24], 在含有高侵蚀性的Cl?溶液中, 膜/电解液界面的氧空缺可吸附Cl?并与其通过Mott-Schottky Pair反应产生氧空缺/金属离子空缺对, 生成的氧空缺又可以与膜/溶液界面处其它Cl?继续反应, 产生更多的金属离子空缺. 这种形成金属离子空缺的自催化过程使钝化膜的动态平衡遭受破坏, 造成钝化膜只溶解而不再继续生长, 最终由于局部钝化膜的破裂产生点蚀[31].

Table 3 Fitting impendance parameters of Nyquist plots of the passive films on the UFG-304L SS and CG-304L SS formed in 0.05 mol/L H2SO4+ 0.05 mol/L NaCl solution at different Ef 表3 不同Ef下UFG-304L SS和CG-304L SS在0.05 mol/L H2SO4+ 0.05 mol/L NaCl溶液中形成表面钝化膜的Nyquist 曲线的拟合结果

Fig.7 Schematics of pitting corrosion for UFG-304L SS (a) and CG-304L SS (b) in 0.05 mol/L H2SO4+0.05 mol/L NaCl (DB—diffusion coefficient of Cl- along grain-boundary, DL—diffusion coefficient of Cl- in lattice)图7 UFG-304L SS和CG-304L SS在0.05 mol/L H2SO4+0.05 mol/L NaCl溶液中点蚀示意图

图7为UFG-304L SS和CG-304L SS在0.05 mol/L H2SO4+0.05 mol/L NaCl溶液中点蚀示意图. 在含Cl?的酸性介质中, 与传统粗晶不锈钢材料相比, 超细晶不锈钢材料的耐蚀性显著下降. 分析其原因, 一方面, 由于严重塑性变形使304L不锈钢表面钝化膜中点缺陷(如氧空缺和金属离子)密度显著增加, 缺陷扩散的能力更强, 而且表面钝化膜致密性降低, 这些都导致Cl?吸附能力显著增强, 更易发生点蚀形核和长大; 另一方面, 由于超细晶材料的晶界含量显著增加[6], 晶界又为原子扩散提供了快速通道, Cl?沿晶界向内扩散能力显著增强, 更有利于点蚀形核.

3 结论

利用等通道转角挤压(ECAP)方法制备出晶粒尺寸为 (130±30) nm的超细晶304L不锈钢材料. 在0.05 mol/L H2SO4+ 0.05 mol/L NaCl溶液中, 超细晶304L不锈钢材料的活性溶解速度比粗晶304L材料更快, 其钝化区间更窄, 维钝电流密度为32.38 mAcm2, 约为粗晶304L不锈钢材料的1.6倍. 与粗晶材料相比, 超细晶304L不锈钢材料的破钝电位负移了100 mV, 保护电位负移了190 mV. 超细晶304L不锈钢表面钝化膜的施主密度约为粗晶的1.1倍, 缺陷的扩散系数增加了1个数量级, 钝化膜的致密性降低. 超细晶304L不锈钢材料的晶界含量较高, 且Cl?在其表面上的吸附及沿晶界的短路扩散能力显著增强, 更易发生点蚀.

参考文献
[1] Valiev R Z, Islangaliev P K, Alexandrov I V. Prog Mater Sci, 2000;45: 103 [本文引用:1]
[2] Gleiter H. Acta Mater, 2000;48: 1 [本文引用:1]
[3] Chen J, Lu L, Lu K. Scr Mater, 2006;54: 1913 [本文引用:1]
[4] Lu K, Zhou F. Acta Metall Sin, 1997;33: 99
(卢 柯, 周 飞. 金属学报, 1997;33: 99) [本文引用:1]
[5] Huang C X, Gao Y L, Yang G, Wu S D, Li G Y, Li S X. J Mater Res, 2006;21: 1687 [本文引用:1]
[6] Wang Y, Chen M, Zhou F, Ma E. Nature, 2002;419: 912 [本文引用:3]
[7] Valiev R. Nat Mater, 2004;3: 511 [本文引用:1]
[8] Valiev R Z, Langdon T G. Prog Mater Sci, 2006;51: 881 [本文引用:1]
[9] Liu L, Li Y, Wang F H. J Mater Sci Technol, 2009;54: 1339 [本文引用:2]
[10] Kabi S, Raeissi K, Saatchi A. J Appl Electrochem, 2009;39: 1279 [本文引用:1]
[11] Yu B, Woo P, Erb U. Scr Mater, 2007;56: 353 [本文引用:1]
[12] Afshari V, Dehghanian C. Corros Sci, 2009;51: 1844 [本文引用:1]
[13] Li X L, Li Y, Wang F H. J Chin Soc Corros Prot, 2002;22: 231
(李雪莉, 李 瑛, 王福会. 中国腐蚀与防护学报, 2002;22: 321) [本文引用:2]
[14] Li N, Li Y, Wang S G, Wang F H. Electrochim Acta, 2006;52: 760 [本文引用:2]
[15] Han X, Chen J, Sun C, Wu Z W, Wu X C, Zhang X H. Acta Metall Sin, 2013;49: 265
(韩 啸, 陈 吉, 孙 成, 武占文, 吴新春, 张星航. 金属学报, 2013;49: 265) [本文引用:2]
[16] Meng G Z, Li Y, Wang F H. Electrochim Acta, 2006;51: 4277 [本文引用:2]
[17] Kiyotaka N, Zenji H, Minoru N, Terence G L. Mater Sci Eng, 2000;A280: 82 [本文引用:1]
[18] Ding J, Lin H C, Cao C N. Corros Sci, 2002;14: 67 [本文引用:1]
[19] Yang R C, Bi H J, Niu S R, Jin S T, Shen P. J Lanzhou Univ Technol, 2010;36: 5
(杨瑞成, 毕海娟, 牛绍蕊, 靳塞特, 申 鹏. 兰州理工大学学报, 2010;36: 5) [本文引用:1]
[20] Dewald J F. J Phys Chem Solids, 1960;14: 155 [本文引用:1]
[21] Buchler M, Schmuki P, Buhui H. Electrochim Acta, 1997;43: 635 [本文引用:1]
[22] Hakiki N E, Belo M D C. J Electrochem Soc, 1996;143: 3088 [本文引用:1]
[23] Gercasi C A, Folquer M E, Vallejo A E. Electrochim Acta, 2005;50: 1113 [本文引用:2]
[24] Macdonald D D. J Electrochem Soc, 1992;139: 3434 [本文引用:2]
[25] MacDonald D D, Urquidi-MacDonald M. J Electrochem Soc, 1990;137: 2395 [本文引用:1]
[26] Chao C Y, Lin L F, MacDonald D D. J Electrochem Soc, 1981;128: 1187 [本文引用:1]
[27] Sikora E, Sikora J, MacDonald D D. Electrochim Acta, 1996;41: 783 [本文引用:1]
[28] Guo H X, Lu B T, Luo J L. Electrochim Acta, 2006;52: 1118 [本文引用:1]
[29] Glass G K, Hassanein A M, Buenfeld N R. Corrosion, 1998;54: 887 [本文引用:1]
[30] Hamadou L, Kadri A, Benbrahim N. Appl Surf Sci, 2005;252: 1510 [本文引用:1]
[31] Li D G, Feng Y R, Bai Z Q, Zhu J W, Zheng M S. Acta Chim Sin, 2008;66: 1151
(李党国, 冯耀荣, 白真权, 朱杰武, 郑茂盛. 化学学报, 2008;66: 1151) [本文引用:1]